JANUARY 7, 2021
THE VERNON PARISH SCHOOL BOARD CONVENED IN REGULAR SESSION AT 10:00 A.M., 201 BELVIEW ROAD, LEESVILLE, LOUISIANA. PRESIDENT JACKIE SELF CALLED THE MEETING TO ORDER AND ON ROLL CALL THE FOLLOWING MEMBERS WERE PRESENT:
ROBERT PYNES, JR.
DOUG BRANDON
JIM SEAMAN
RANDY MARTIN
JOHN BLANKENBAKER
LISA THOMPSON
VERNON L.TRAVIS, JR.
COL. RYAN K. ROSEBERRY
ABSENT:
ANGIE DAVIS
DAVID DETZ
SHAD STEWART
STEVE WOODS
There was also present Mr. James Williams, Secretary of the Board.
The meeting was opened in prayer by: John Blankenbaker
The Pledge of Allegiance was led by: John Blankenbaker
Item #1: Approval of December 8, 2020 Minutes
On motion of John Blankenbaker, seconded by Lisa Thompson, the Board voted to approve the minutes of the December 8, 2020 regular meeting and dispense with the reading of the minutes.
Item #2: Leesville Daily Leader/ Official Journal
On motion of Randy Martin, seconded by Lisa Thompson, the Board voted to name the Leesville Daily Leader as the official journal of the Vernon Parish School Board.
Item #3: Federal Funding Authorization
On motion of Vernon L. Travis, Jr., seconded by Jim Seaman, the Board voted to authorize the Superintendent to request and sign all federal funding P.L. 81-874 for the Vernon Parish School Board.
Item #4: Renew Cenergistic Contract
Director of Finance, Tim Ward discussed the 3.2 million dollar savings over the last 5 years from being enrolled in the Cenergistic Program. Mr. Ward introduced Doug Bilyeau to the Board who is the Cenergistic representative for the Vernon Parish School Board and oversees our contract with their company. Mr. Ward explained to the Board how the Cenergistic Program benefited from the school board and how they are compensated for their work in the program. After the discussion the full board voted 8 yays 0 nays to renew the contract with Cenergistic for 3 more years. On motion of Doug Brandon, seconded by John Blankenbaker, the Board voted to approve renewal with Cenergistic for 3 more years.
Item #5: Head Start Report
Director of Head Start, Curtis Clay reported to the Board on attendance, referrals, lunches and breakfasts served and regular Head Start information. The Vernon Parish School Board Personnel Policies were approved at the Head Start Policy Council meeting on January 5, 2021. These personnel policies are also followed by the Head Start employees. Mr. Clay informed the Board on the following: l resignation, 2 in-parish transfers, and 2 new hires for the Head Start program which will be added to the February transactions for approval. Mr. Clay provided the Board with a copy of the child attendance and tardiness policy and procedures plan of action, the Vernon Parish Head Start coaching agreement, the action plan form, early childhood practice based coaching plan summary for 2020-2021, and the Vernon Parish Head Start child abuse policy and procedures. On motion of Vernon L. Travis, Jr., seconded by Randy Martin, the Board voted to add the policy and procedures to the January 12th agenda for approval.
Item #6: VPSB Policy Updates:
Child Welfare Director, Hub Jordan discussed the updates for the following Vernon Parish School Board policies to the Board.
1) FILE: - BCAD – Teleconference/Remote Participation in School Board Meetings
Additional information
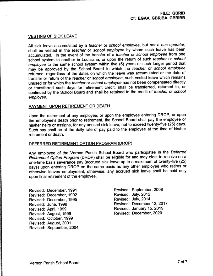
2) FILE: – GBRIB – Addition information to sick leave policy
3) FILE: – GBRIBC- COVID19 Leave
New policies and additions attached to minutes.
On motion of John Blankenbaker, seconded by Randy Martin, the Board voted to add the policy changes and additions to the January 12th agenda for approval.
Item #7: COVID Update
Mr. Hub Jordan presented the Board a copy of the memorandum from the LHSAA concerning the LDH/CDC updated guidelines/ and updated quarantine guidance.
Item #8: Restoration Update
Finance Director, Tim Ward presented each Board member a copy of their district’s restoration update which included phase l, phase l.5 and phase 2. Mr. Ward informed the Board that he will issue an RFP as soon as final engineering and architectural work is complete. Repairs are estimated to take place this summer.
Item #9: Report from Salary/Personnel
Chairperson for the salary/personnel committee Angie Davis was absent and Vernon L. Travis, Jr. Reported to the Board on the discussion 9:30 AM. He informed the Board that Mike Kay discussed the personnel changes to be added to the January 12th meeting for approval. On motion of Jackie Self, seconded by Jim Seaman the Board voted to add to January 12th meeting for approval.
Mr. Kay also discussed the COVID-19 leave proposal (GBRIBC) effective January 4, 2021 thru April 15, 2021. On motion of John Blankenbaker, seconded by Randy Martin the Board voted to add to the January 12th meeting for approval.
Item #10: Superintendent’s Remarks
Superintendent Williams thanked the Board Members for their concern and help to all our school employees and how each one always takes time to listen to employees who call them with needs.
Mr. Williams welcomed Col. Ryan K. Roseberry to the meeting and asked him for an update on Fort Polk events. Col. Roseberry
Mr. Williams asked Vernon L. Travis, Jr. to remind the Board of the LSBA Conference in March with information about the conference.
Item # 11: Memorial Resolutions
On motion of Jim Seaman, seconded by the Board, the Board voted to adopt the following memorial resolution:
R E S O L U T I O N
WHEREAS, the members of the Vernon Parish School Board wish to express their sympathy to the family of Michael “Mikey” Anthony Hill who recently passed away; and
WHEREAS, Mr. Hill was the husband of Lucretia Hill, Special Education Paraprofessional at North Polk Elementary; and
WHEREAS, Mr. Hill was a resident of Vernon Parish; now
BE IT THEREFORE RESOLVED that the Vernon Parish School Board requests a copy of this memorial be sent to his family at this time of sadness.
------------------------------------------------------------------------------------------------------------
On motion of Lisa Thompson, seconded by the Board, the Board voted to adopt the following memorial resolution:
R E S O L U T I O N
WHEREAS, the members of the Vernon Parish School Board wish to express their sympathy to the family of Robert Huey Morrison who recently passed away; and
WHEREAS, Mr. Morrison is the husband of Dedra Morrison a Special Education Paraprofessional at Pitkin High School; and
WHEREAS, Mr. Morrison was a resident of Vernon Parish; now
BE IT THEREFORE RESOLVED that the Vernon Parish School Board requests a copy of this memorial be sent to his family at this time of sadness.
------------------------------------------------------------------------------------------------------------
On motion of Lisa Thompson, seconded by the Board, the Board voted to adopt the following memorial resolution:
R E S O L U T I O N
WHEREAS, the members of the Vernon Parish School Board wish to express their sympathy to the family of Harlon Reese Morgan who recently passed away; and
WHEREAS, Mr. Morgan was the grandson of former School Board Member,
Wallace McRae; and
WHEREAS, Mr. Morgan was a resident of Vernon Parish; now
BE IT THEREFORE RESOLVED that the Vernon Parish School Board requests a copy of this memorial be sent to his family at this time of sadness.
------------------------------------------------------------------------------------------------------------
On motion of Lisa Thompson, seconded by the Board, the Board voted to adopt the following memorial resolution:
R E S O L U T I O N
WHEREAS, the members of the Vernon Parish School Board with to express their sympathy to the family of Patricia Monk Akins who recently passed away; and
WHEREAS, Ms. Akins was a former Special Education Paraprofessional at Hicks High School and she is the mother of Letitia Dees, Special Education Paraprofessional at Hicks High School; and
WHEREAS, Ms. Akins was a resident of Vernon Parish; now
BE IT THEREFORE RESOLVED that the Vernon Parish School Board requests a copy of this memorial be sent to her family at this time of sadness.
------------------------------------------------------------------------------------------------------------
On motion of Randy Martin, seconded by the Board, the Board voted to adopt the following memorial resolution:
R E S O L U T I O N
WHEREAS, the members of the Vernon Parish School Board wish to express their sympathy to the family of Almon Winston Jeane who recently passed away; and
WHEREAS, Mr. Jeane was the father-in-law of Tanya Jeane, Assistant Principal of Evans High School and Amanda Jeane, Special Education Paraprofessional at Anacoco Elementary School; and
WHEREAS, Mr. Jeane was a resident of Vernon Parish; now
BE IT THEREFORE RESOLVED that the Vernon Parish School Board requests a copy of this memorial be sent to his family at this time of sadness.
------------------------------------------------------------------------------------------------------------
On motions of Randy Martin, seconded by the Board, the Board voted to adopt the following memorial resolution:
R E S O L U T I O N
WHEREAS, the members of the Vernon Parish School Board wish to express their sympathy to the family of Doris Hyatt who recently passed away; and
WHEREAS, Ms.Hyatt was a retired school office worker at Pickering Elementary School; and
WHEREAS, Ms. Hyatt was a resident of Vernon Parish; now
BE IT THEREFORE RESOLVED that the Vernon Parish School Board requests a copy of this memorial be sent to her family at this time of sadness.
------------------------------------------------------------------------------------------------------------
On motion of John Blankenbaker, seconded by the Board, the Board voted to adopt the following memorial resolution:
R E S O L U T I O N
WHEREAS, the members of the Vernon Parish School Board wish to express their sympathy to the family of Jo Anne McKee who recently passed away; and
WHEREAS, Ms. McKee was the secretary/bookkeeper at Rosepine High School; and
WHEREAS, Ms. McKee was the daughter of Lidia McKee, retired secretary/bookkeeper at Rosepine High School and Silas McKee retired bus driver from Rosepine High School. Ms. McKee was the sister of former teach/coach Ted McKee; and
WHEREAS, Ms. McKee was a resident of Vernon Parish; now
BE IT THEREFORE RESOLVED that the Vernon Parish School Board requests a copy of this memorial be sent to her family at this time of sadness.
------------------------------------------------------------------------------------------------------------
On motion of John Blankenbaker, seconded by the Board, the Board voted to adopt the following memorial resolution:
R E S O L U T I O N
WHEREAS, the members of the Vernon Parish School Board wish to express their sympathy to the family of L.H. Lee West who recently passed away; and
WHEREAS, Mr. West was the father of Diane Hyatt, cafeteria manager at North Polk Elementary, Barbara Fletcher, retired teacher at Rosepine High, Jan Rouleau, teacher a Rosepine High , grandfather of Chloe Rouleau, teacher at Pickering Elementary, and brother-in-law of John Blankenbaker, Ward 7 Board Member and Vernon Parish School Board Vice-President; and
WHEREAS, Mr. West was a resident of Vernon Parish; now
BE IT THEREFORE RESOLVED that the Vernon Parish School Board requests a copy of this memorial be sent to her family at this time of sadness.
------------------------------------------------------------------------------------------------------------
On motion of John Blankenbaker, seconded by the Board, the Board voted to adopt the following memorial resolution:
R E S O L U T I O N
WHEREAS, the members of the Vernon Parish School Board wish to express their sympathy to the family of Tammie Craft who recently passed away; and
WHEREAS, Ms. Craft was a retired cook technician at Rosepine High; and
WHEREAS, Ms. Craft was a resident of Vernon Parish; now
BE IT THEREFORE RESOLVED that the Vernon Parish School Board requests a copy of this memorial be sent to her family at this time of sadness;
------------------------------------------------------------------------------------------------------------
On motion of Jackie Self, seconded by the Board, the Board voted to adopt the following memorial resolution:
R E S O L U T I O N
WHEREAS, the members of the Vernon Parish School Board wish to express their sympathy to the family of Joyce Clary Brandon who recently passed away; and
WHEREAS, Ms. Brandon was the mother of Dr. Doug Brandon, Ward 1 Board Member; and
WHEREAS, Ms. Brandon was a resident of Sabine Parish; now
BE IT THEREFORE RESOLVED that the Vernon Parish School Board requests a copy of this memorial be sent to her family at this time of sadness.
------------------------------------------------------------------------------------------------------------
On motion of Jackie Self, seconded by the Board, the Board voted to adopt the following memorial resolution:
R E S O L U T I O N
WHEREAS, the members of the Vernon Parish School Board wish to express their sympathy to the family of Johnnie Lea Darden who recently passed away; and
WHEREAS, Ms. Darden was a retired Special Education secretary; and
WHEREAS, Ms. Darden was a resident of Vernon Parish; now
BE IT THEREFORE RESOLVED that the Vernon Parish School Board requests a copy of this memorial be sent to her family at this time of sadness.
------------------------------------------------------------------------------------------------------------
On motion of Doug Brandon, seconded by the Board, the Board voted to adopt the following memorial resolution:
R E S O L U T I O N
WHEREAS, the members of the Vernon Parish School Board wish to express their sympathy to the family of Von Ronald Snell, Sr. who recently passed away; and
WHEREAS, Mr. Snell was the husband of Joan Snell retired cook technician; and
WHEREAS, Mr. Snell was a resident of Vernon Parish; now
BE IT THEREFORE RESOLVED that the Vernon Parish School Board requests a copy of this memorial be sent to her family at this time of sadness.
Item #11: Adjournment
There being no further business the meeting was adjourned.
Authorized Officer
_________________________
JACKIE SELF, PRESIDENT
ATTEST:
__________________________________
JAMES WILLIAMS, SUPERINTENDENT




























